2018年非全日制临床医学专业学位博士研究生入学考试综合成绩公示

发布者:徐希宇发布时间:2018-06-12浏览次数:3056

  

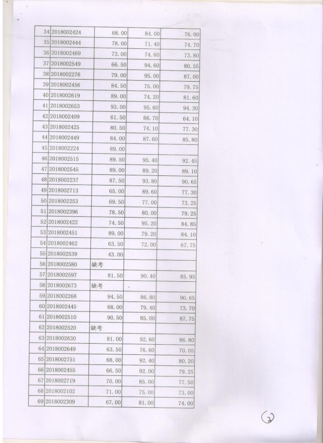
2018年非全日制临床医学专业学位博士研究生入学考试综合成绩公示

  

  

                                公示期为6月12日-6月14日

                    联系电话为:025-83272522 医三亿体育(中国)教学办 

关闭